Archive for March, 2019

Erratum for notes 434(2) and 434(5)

Wednesday, March 20th, 2019

Erratum for notes 434(2) and 434(5)

Many thanks again. This typo works its way into Eqs. (19) to (22), and Eqs. (24) to (26) of Note 434(2). The correct expression was used in Eq. (1) of Note 433(1) for example, and in UFT417 ff. It will be corrected in the final paper.

Erratum for notes 434(2) and 434(5)

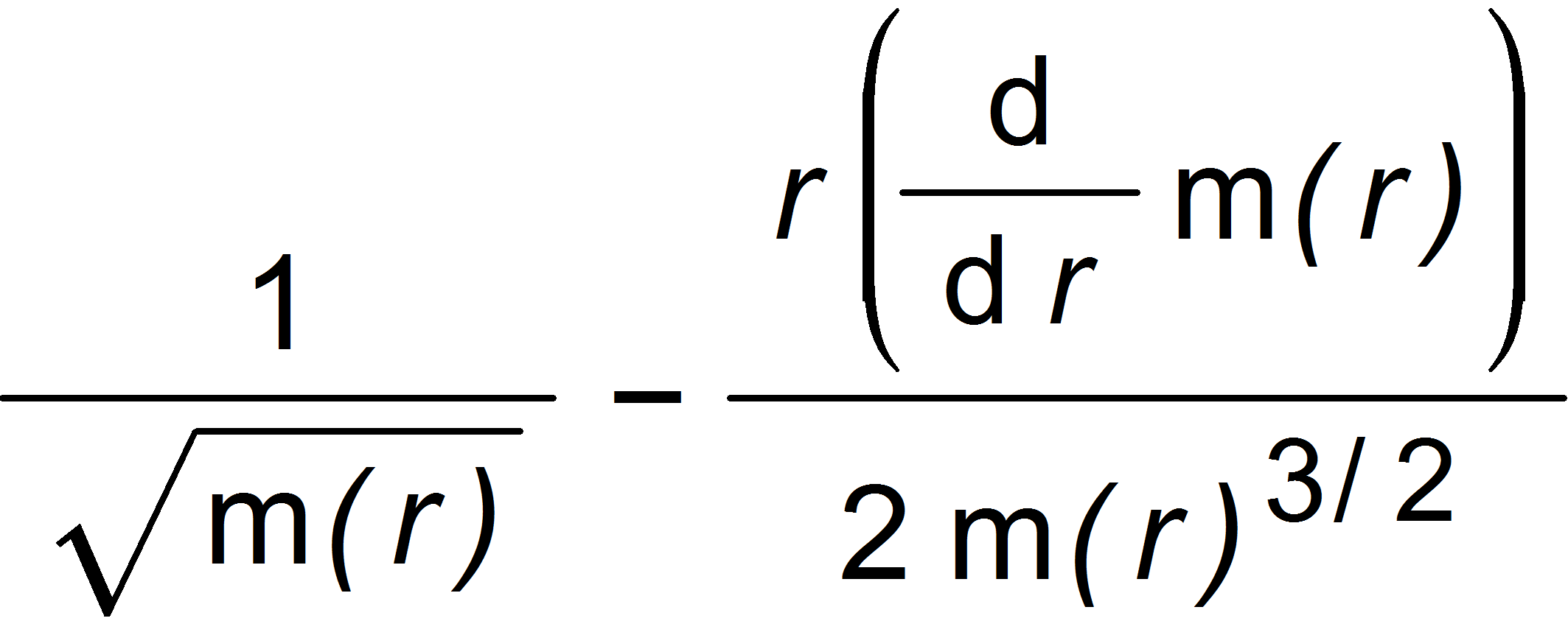
In eq.(19) of 434(2) a factor of r is missing in the last term. The same holds for eq. (13) of 434(4). Obviously a typo. The correct dr1/dr reads:

Horst

434(4): Unification of General Relativity and Quantum Mechanics with m Theory

Tuesday, March 19th, 2019

434(4): Unification of General Relativity and Quantum Mechanics with m Theory

The unification is achieved with the de Broglie / Einstein equations in m space, Eqs. (25) and (26). One of many consequencies is that the synthesis of photons with mass and particles results as a consequence of the m space and m(r) function, defined by the infinitesimal line element (1). So this is an explanation of why so many elementary particles can be observed. In early UFT papers this type of unification was achieved using the ECE wave equation and the tetrad postulate. The standard model has failed to provide any satisfactory unification of this type. The existence of the photon with mass was proven from the inverse Faraday effect in 1991, through the B(3) field, nominated several times for a Nobel Prize, and recognized with a Civil List Pension.

a434thpapernotes4.pdf

Fwd: Note 434(2): The de Broglie Wave Particle Dualism in m Space

Monday, March 18th, 2019

Note 434(2): The de Broglie Wave Particle Dualism in m Space

This would be full of interest, giving new results in all directions.

Fwd: 434(3): Energy Quantization in m Space

Monday, March 18th, 2019

434(3): Energy Quantization in m Space

Many thanks, your own contributions and that of AIAS / UPITEC were just as important in many areas, notably the meticulous study of all the notes, the computer algebra, the graphics, and the detailed discussion of concepts, so about seven hundred papers and books have been produced since 2003. Alex Hill and his group have translated the great majority of items, so they are classics throughout the Spanish speaking world.

434(3): Energy Quantization in m Space

Monday, March 18th, 2019

434(3): Energy Quantization in m Space

Very interesting result! It is now possible to model psi and m(r) to see how many photons are created from a given m space. There is no need for an anthropomorphic big bang or the anthropomorphic idea of "beginning" and "end". Elementary particles and photons are continually created from m space, seemingly out of nothing, but without violation of conservation of energy and momentum. Schroedinger quantization does not violate any laws of conservation.

Note 434(1)

Monday, March 18th, 2019

Note 434(1)

This is the first time that the Schroedinger quantization has been carried out with an r1 coordinate. It introduces a great deal of new information.

Note 434(1)

PS: there seem to be some mix-ups with v and v_1 in eqs.(6),(7),(9), but then all is in order again.

Horst

Am 18.03.2019 um 11:56 schrieb Horst Eckardt:

It seems plausible to me that quantization in m space should be defined by the r1 coordinate. Did you use this choice in the subsequent notes?
Horst

Am 17.03.2019 um 10:15 schrieb Myron Evans:

Thanks to Gareth Evans and Horst Eckart for checking this note. Here is Note 434(1). Concerning the calculation of dr1 / dr, it is carried out in exactly the same way as in UFT417, Eq. (16). You checked this result with computer algebra. It is of the type y = x / f(x), so dy/dx = (f(x) – xf'(x)) / f(x) squared. This gives the result that p = h bar kappa develops new structure in m space. The next step is to repeat this calculation for E = h bar omega.

On Sat, Mar 16, 2019 at 6:36 PM Horst Eckardt <mail> wrote:

PS: where is note 434(1) ?

Horst

Am 16.03.2019 um 13:18 schrieb Myron Evans:

Note 434(2): The de Broglie Wave Particle Dualism in m Space

This note shows that the fundamental equation of de Broglie wave particle dualism, p = h bar kappa is changed completely in m space and takes on a rich structure made of momenta eigenvalues, each corresponding to an elementary particle. Under condition (26) the momenta become infinite. In general physics in my space is a much richer subject than in flat space (m(r) = 1). Schroedinger quantization in m space is changed fundamentally to Eq. (10). Similar considerations will apply to rotational physics, introducing a new subject of m space quantum mechanics and m space particle physics. Time in m space is changed from t to (m(r) power half) t, so Planck quantization E = h bar omega will also be affected.

Note 434(2): The de Broglie Wave Particle Dualism in m Space

Monday, March 18th, 2019

Note 434(2): The de Broglie Wave Particle Dualism in m Space

In the limit m(r) = 1, the integral is well behaved, so models of m(r) and dm(r) / dr must be chosen to give physically valid results. There would be eigenvalues of momentum created by the models used for m(r) and dm(r)/dr. Each eigenvalue corresponds to a particle, for example two charged pions, one neutral pion, two charged rho mesons, one neutral rho meson and one omega meson if we are considering the interaction between a neutron and a proton. It is not clear what r goes to 0 implies. Did you mean m(r) goes to zero? Under the condition 2m(r) = dm(r) / dr the expectation value of momentum goes to infinity.
Note 434(2): The de Broglie Wave Particle Dualism in m Space

It is difficult to imagine the effect of a limit r–>0 for m(r) in eq. (25) because therein an integral is taken over the whole space, leading to a constant. In our model functions for m(r), the denominator of (25) remains finite so that the momentum is well defined. In special cases it may be possible that the denominator vanishes. This would typically give poles, and integration over poles does not converge in many cases, giving indeed an infinite momentum, including a sign change between both sides of the poles. One would have to search for such a particle behaviour. Maybe that this can be made consistent with certain decay channels where 2 particles of the same type are created.

Horst

Am 17.03.2019 um 10:15 schrieb Myron Evans:

Thanks to Gareth Evans and Horst Eckart for checking this note. Here is Note 434(1). Concerning the calculation of dr1 / dr, it is carried out in exactly the same way as in UFT417, Eq. (16). You checked this result with computer algebra. It is of the type y = x / f(x), so dy/dx = (f(x) – xf'(x)) / f(x) squared. This gives the result that p = h bar kappa develops new structure in m space. The next step is to repeat this calculation for E = h bar omega.

On Sat, Mar 16, 2019 at 6:36 PM Horst Eckardt <mail> wrote:

PS: where is note 434(1) ?

Horst

Am 16.03.2019 um 13:18 schrieb Myron Evans:

Note 434(2): The de Broglie Wave Particle Dualism in m Space

This note shows that the fundamental equation of de Broglie wave particle dualism, p = h bar kappa is changed completely in m space and takes on a rich structure made of momenta eigenvalues, each corresponding to an elementary particle. Under condition (26) the momenta become infinite. In general physics in my space is a much richer subject than in flat space (m(r) = 1). Schroedinger quantization in m space is changed fundamentally to Eq. (10). Similar considerations will apply to rotational physics, introducing a new subject of m space quantum mechanics and m space particle physics. Time in m space is changed from t to (m(r) power half) t, so Planck quantization E = h bar omega will also be affected.

Note 434(2): The de Broglie Wave Particle Dualism in m Space

Monday, March 18th, 2019

Note 434(2): The de Broglie Wave Particle Dualism in m Space

Thanks for going through this, and agreed. In subsequent papers UFT415 to UFT433 to date the procedure worked very well, producing many new results. So now it is being applied to the fundamental Planck / de Broglie quantization, and de Broglie / Einstein equations, producing a completely new quantum mechanics in any context. Essentially the algebra is y = x / f(x), where y = r1, x = r, f(x) = m(r) power half. Viewed in this way, the procedure is clear. The result is dy / dx = (f(x) – x f'(x)) / (f(x)) squared, where f'(x) = df(x) / dx. Finally substitute y = r1; x = r; f(x) = (m(r)) power half. The important result is that the foundations of quantum mechanics are changed completely by working in a space in which m(r) is not one. It would be interesting to work out the usual problems of elementary quantum mechanics with Schroedinger quantization in m space: linear motion, particle on a ring, particle on a sphere, H atom. Quantization in any context is changed completely in an m space defined by any m(r). So some numerical examples would be full of interest. Thanks in anticipation.

Note 434(2): The de Broglie Wave Particle Dualism in m Space

OK, in UFT417, Eq.(16), we took the inverse of dr1/dr to obtain dr/dr1. The direct evaluation gives an endless recursion and the result is unclear. The calculation should be correct.

Horst

Am 17.03.2019 um 10:15 schrieb Myron Evans:

Thanks to Gareth Evans and Horst Eckart for checking this note. Here is Note 434(1). Concerning the calculation of dr1 / dr, it is carried out in exactly the same way as in UFT417, Eq. (16). You checked this result with computer algebra. It is of the type y = x / f(x), so dy/dx = (f(x) – xf'(x)) / f(x) squared. This gives the result that p = h bar kappa develops new structure in m space. The next step is to repeat this calculation for E = h bar omega.

On Sat, Mar 16, 2019 at 6:36 PM Horst Eckardt <mail> wrote:

PS: where is note 434(1) ?

Horst

Am 16.03.2019 um 13:18 schrieb Myron Evans:

Note 434(2): The de Broglie Wave Particle Dualism in m Space

This note shows that the fundamental equation of de Broglie wave particle dualism, p = h bar kappa is changed completely in m space and takes on a rich structure made of momenta eigenvalues, each corresponding to an elementary particle. Under condition (26) the momenta become infinite. In general physics in my space is a much richer subject than in flat space (m(r) = 1). Schroedinger quantization in m space is changed fundamentally to Eq. (10). Similar considerations will apply to rotational physics, introducing a new subject of m space quantum mechanics and m space particle physics. Time in m space is changed from t to (m(r) power half) t, so Planck quantization E = h bar omega will also be affected.

434(3): Energy Quantization in m Space

Sunday, March 17th, 2019

434(3): Energy Quantization in m Space

Sunday, March 17th, 2019

434(3): Energy Quantization in m Space

It is shown that the m space introduces new energy levels and photons appear out of space itself. The Planck law E = h bar omega is replaced by Eq. (14). Schroedinger quantization in m space is summarized by Eqs. (20) to (23). So quantum mechanics is changed fundamentally in m space. The Einstein de Broglie equations E = h bar omega = gamma m c squared and p = h bar kappa = gamma m v are also changed fundamentally. Any experimentally observable energies (particle masses) in a heavy hadron collision can be explained using these methods. So the universe can be thought of as originating in space itself, without violation of any conservation law. There was no Big Bang, and the process of synthesizing the universe from geometry goes on without beginning and without end.

a434thpapernotes3.pdf