Archive for February, 2019

431(5): Development of the Woods Saxon Potential

Thursday, February 14th, 2019

431(5): Development of the Woods Saxon Potential

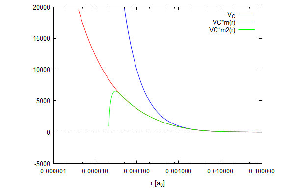
Many thanks, I am working towards an understanding of what kind of metal or material is the best for LENR. The Woods Saxon theory is very highly developed in nuclear physics so gives an insight to m (r) and dm(r) / dr. The latter are properties of space but the Woods Saxon parameters are finite properties. Cecil Monk used to lecture on nuclear physics at the EDCL as you know but he never gave his opinion on nuclear arms control. The Woods Saxon theory gave way to quark gluon theory. As you know, Mansel Davies was completely against the nuclear bomb, and had a photograph of Bertrand Russell in his office. All of Wales opposes the nuclear bomb and nuclear reactors of the old and dangerous type. LENR is wholly new and does not produce gamma rays or any harmful by product. In my opinion those who oppose LENR and m space circuits are out of their minds.

Not a bad days work!! Looking good!

Sent from my Samsung Galaxy smartphone.

431(5): Development of the Woods Saxon Potential

Thursday, February 14th, 2019

431(5): Development of the Woods Saxon Potential

The Woods Saxon potential was developed for LENR in UFT227 ff, and in this note the attractive force of the potential, Eq. (3), is identified with the attractive force of the m space, Eq. (4) for a static proton and Eq. (11) for a moving proton. It is shown that the resonance condition 2m(r) = rdm(r)/dr is equivalent to the approach to zero of the normalized surface thickness of the Woods Saxon model. When the surface thickness disappears there is no barrier to Ni(64) merging with p. So m (r) and dm(r) / dr can be understood in terms of the well known parameters of the nuclear Woods Saxon potential. The total potential inside the nucleus is Eq. (10). Inside the nucleus (fused Ni64 and p) the repulsive potential is Eq. (8). Outside it is Eq.(9) (p approaching Ni64). Finally the proton wave equation is Eq. (18), the ECE wave equation. By wave particle dualism the proton approaching a Ni64 atom is both a wave and a particle. The nickel atom is also a wave as well as a particle and after the fused entity Ni64 and p breaks apart, wave particles of various mass are generated. In the quark gluon model the nucleus consists of quarks, and they can be related to the eigenvalues of the ECE wave equation (18), the wave equation of m space. At this point I will pause to write up Sections 1 and 2 of UFT431.

a431stpapernotes5.pdf

Graphics of Eqs. (1) and (2) of Note 431(4)

Wednesday, February 13th, 2019

Graphics of Eqs. (1) and (2) of Note 431(4)

It would be very interesting to plot Eqs. (1) and (2) as a function of m(r), dm(r) / dr and p, the linear relativistic momentum of the proton. Quantization of Eqs. (1) and (2) should produce a wealth of new information, also the extension of UFT246 UFT248 with m theory should give important results. I will look in to this extension next.

431(4): Conditions in m theory under which p enters the Ni nucleus

Wednesday, February 13th, 2019

431(4): Conditions in m theory under which p enters the Ni nucleus

Eq. (1) is the same as used in UFT427 and UFT430. It is derived in Note 430(2). This is the force outside the nickel nucleus or outside any particle of mass m. If m(r) and dm(r) / dr are positive valued then F is negative valued and attractive. Under condition (12) of Note 431(4) it is infinite. So I agree that the force outside the nickel nucleus must be negative valued, and when it becomes infinite the p merges with the Ni, the resulting entity is unstable, and breaks into copper plus products pus mega electron volts of energy released as heat and light. The negative sign outside Eq. (6) is a direct consequence of UFT427, which compared the expressions for m space force from the Euler Lagrange and Hamilton equations. The force (6) does not depend on the momentum of the proton, which shows why the proton does not need to be accelerated. It is a force due to m space itself, and is a force that does not exist in classical physics or special relativity. This is the force that overcomes the Coulomb barrier in the m theory. Once the proton is inside the nickel nucleus the resulting entity is unstable and breaks apart into copper, other products and a huge amount of energy. Similarly in the Cockcroft Walton experiment, once the proton is inside the lithium nucleus, the resulting entity is unstable and breaks apart into two alpha particles plus a huge amount of energy. However in that experiment the proton had to be accelerated with 750,000 volts. The term responsible for the chaotic motion has been used to obtain Eq. (1) of this note. The details are given in Note 430(2). I agree that F is ubiquitous, i.e. is always associated with any particle of mass m. The experimenter must prepare the nickel powder and mix it with hydrogen in exactly the right way, so that the resonance condition (12) is satisfied. So just mixing nickel powder and hydrogen will not work. Similarly nickel can be transformed to nickel carbonyl gas under the right conditions. This is the Ludwig Mond process, and takes place here in the Mond nickel works. The nickel carbonyl condenses into pure nickel which is used for all kinds of products. Just mixing nickel and carbon monoxide will not work. The mixing has to be done according to the Mond patent. In nuclear physics the force (1) also exists and can be used to replace the strong nuclear attractive force of the standard model.

431(4): Conditions in m theory under which p enters the Ni nucleus

Obviously you have inverted the signs in the denominator of eq.(6) to obtain a negative sign for the whole expression. To my understanding the force F0 must be negative outside the Ni nucleus so that the proton can overcome the Coulomb barrier, otherwise there would be no nuclear reaction possible. Inside the Ni nucleus, F0 has to stay negative in order not to smash the nucleus. This means that there is no sign change of F0 necessary, we can use our original approach of m(r). The force will be enormous due to the factor mc^2, a similar effect as we have found in the Hamilton and Lagrange calculations, where this leads to chaotic motion. The mechanism is not specific to Ni, it should appear always when a proton approaches a nucleus, only the energy balance may vary. This may be a certain problem. Why does LENR only work in certain systems?

I will prepare some graphics for the Ni values next.

Horst

Am 12.02.2019 um 11:53 schrieb Myron Evans:

431(4): Conditions in m theory under which p enters the Ni nucleus

This note shows that the condition is Eq (12), discussed in detail by Horst in UFT417 and UFT430. The attractive force (1) of m theory is entirely new to physics and is as ubiquitous as the rest energy for example. For a rest particle it is given by Eq. (6). It is a force of generally covariant unified field theory (m theory) and does not exist in special relativity or classical physics. It exists in static nickel nuclei surrounded by static p nuclei in a hydrogen gas. So the low energy nuclear reaction can take place without the need to accelerate the protons as in the Cockroft Walton experiment of 1932 (which used 750,000 volts to accelerate p into lithium and break it into two alpha particles, then newly discovered by Rutherford). Once the proton enters the nickel nucleus it becomes unstable and transmutes to copper and other products. A huge amount of energy is released, as described by Eq. (17), even though the initial nickel and proton nuclei are rest particles, or very slowly moving. All forms of energy are interconvertible, so the energy manifests itself as heat and very intense emission radiation in the visible and ultra violet but not in the gamma ray region. This is the well known emission spectrum of nickel vapour, the nickel having been vapourized due to the emitted heat. So LENR is safe and has been given its industry safety certificate for industrial units. Obviously it is safe, otherwise all workers who have observed LENR would have been severely damaged by gamma rays. Exactly the right mixture of nickel and hydrogen is needed to produce condition (12). The latter is obtained from comparing the Euler Lagrange theory and Hamilton theory in m space as in UFT427. So m theory describes all aspects of low energy nuclear reactions straightforwardly. In nuclear theory the force (1) can now replace the empirical Woods Saxon potential used in UFT226 to UFT230 and ultimately replace the standard model of the nucleus and elementary particles by a much simpler and more powerful theory.

431(4): Conditions in m theory under which p enters the Ni nucleus

Tuesday, February 12th, 2019

Conditions in m theory under which p enters the Ni nucleus

Many thanks! I look forward very much to getting my nuclear reactor.

Conditions in m theory under which p enters the Ni nucleus

Might eventually be able to suggest which nuclei will more easily absorb the proton? Of course, it is crucially important how much heat and what "light" are emitted. Perhaps nickel is one of the best and safest? Lots of development work can be done on this now that the process is understood. Well done Myron!!

Sent from my Samsung Galaxy smartphone.

431(4): Conditions in m theory under which p enters the Ni nucleus

Tuesday, February 12th, 2019

431(4): Conditions in m theory under which p enters the Ni nucleus

Tuesday, February 12th, 2019

431(4): Conditions in m theory under which p enters the Ni nucleus

This note shows that the condition is Eq (12), discussed in detail by Horst in UFT417 and UFT430. The attractive force (1) of m theory is entirely new to physics and is as ubiquitous as the rest energy for example. For a rest particle it is given by Eq. (6). It is a force of generally covariant unified field theory (m theory) and does not exist in special relativity or classical physics. It exists in static nickel nuclei surrounded by static p nuclei in a hydrogen gas. So the low energy nuclear reaction can take place without the need to accelerate the protons as in the Cockroft Walton experiment of 1932 (which used 750,000 volts to accelerate p into lithium and break it into two alpha particles, then newly discovered by Rutherford). Once the proton enters the nickel nucleus it becomes unstable and transmutes to copper and other products. A huge amount of energy is released, as described by Eq. (17), even though the initial nickel and proton nuclei are rest particles, or very slowly moving. All forms of energy are interconvertible, so the energy manifests itself as heat and very intense emission radiation in the visible and ultra violet but not in the gamma ray region. This is the well known emission spectrum of nickel vapour, the nickel having been vapourized due to the emitted heat. So LENR is safe and has been given its industry safety certificate for industrial units. Obviously it is safe, otherwise all workers who have observed LENR would have been severely damaged by gamma rays. Exactly the right mixture of nickel and hydrogen is needed to produce condition (12). The latter is obtained from comparing the Euler Lagrange theory and Hamilton theory in m space as in UFT427. So m theory describes all aspects of low energy nuclear reactions straightforwardly. In nuclear theory the force (1) can now replace the empirical Woods Saxon potential used in UFT226 to UFT230 and ultimately replace the standard model of the nucleus and elementary particles by a much simpler and more powerful theory.

a431stpapenotes4.pdf

431(3): The m theory of E Cat

Sunday, February 10th, 2019

Fwd: 431(3): The m theory of E Cat

Saturday, February 9th, 2019

431(3): The m theory of E Cat

Discussion of E Cat Many thanks to Prof Steve Bannister, University of Utah. The idea in Note 413(3) works on a kind of resonance. The initial input of energy from spacetime can be very small, as in the radiative corrections, but the resulting force from m space is amplified to infinity under the condition 2m(r) = rdm(r) / dr. This is made possible by considering the m(r) function of the most general spherically symmetric space (which I call m space). Horst developed this resonance condition in UFT417 and UFT430. So there is no longer any need for quantum tunneling. The mystery of how p can fuse with a nickel nucleus in the laboratory has been answered by m theory. The experimenter comes across the resonance condition by trial and error at present. However, it may be possible to engineer the condition in some way. Spin connection resonance also works by Euler Bernoulli resonance, and was greatly developed in the Eckardt / Lindstrom papers. As you know, the San Francisco Bay Bridge was destroyed by resonance, so they had to strengthen its cross supports and make it aerodynamic.

431(3): The m theory of E Cat

Hello Myron,

A couple of thoughts come to mind as you think through this theory:

  • The E-Cat SK has a large control unit. It is proprietary to Rossi. From what he and others have said, it provides pulses of energy to the reactor system to trigger and control it.
  • Rossi, when asked about the importance of resonances in his system, replied that they were everything. That certainly stuck with me.

He has produced a "theory" paper recently; I will find and forward it.

Steve

Stephen C. Bannister, Ph.D. Assistant Professor, Economics Director, MIAGE Associate Director, Economic Evaluation Unit, Macroeconomics University of Utah Open calendar at: https://bit.ly/2vFymyY

On 2/9/2019 3:53 AM, Myron Evans wrote:

431(3): The m theory of E Cat

Agreed, I am looking forward to seeing the E Cat domestic unit in action here, and to compare its cost with other forms of heating. The m theory of the radiative corrections was developed in preparation for the m theory of E Cat. I am on a waiting list of prospective buyers of the unit. You may also have met Walton at TCD, I met him in its Senior Common Room, which seemed to me to be very luxurious, with lavish food and coffee, piles of newspapers, luxurious chairs and a big fire. Walton came in to the College after retirement, and was a witty kind of character, no trace of any arrogance. There is a photograph of Rutherford, Cockcroft and Walton on the net. Of course he was joking when he said they stole bike parts, or maybe not. This is because Rutherford expected all the group to build its own apparatus and blow its own glassware, no big grants at all.

431(3): The m theory of E Cat

Copper has two naturally occuring isotopes (63 and 65, 63 is the most abundant). So, copper 63 is stable and a non-radioactive isotope. It will not harm the environment in the way that many other fission products can. Obviously it is important to emphasise this.

The release of intense visible light is also interesting and potentially useful if it could be safely harnessed.

Sent from my Samsung Galaxy smartphone.

431(3): The m theory of E Cat

Saturday, February 9th, 2019

431(3): The m theory of E Cat

Agreed, I am looking forward to seeing the E Cat domestic unit in action here, and to compare its cost with other forms of heating. The m theory of the radiative corrections was developed in preparation for the m theory of E Cat. I am on a waiting list of prospective buyers of the unit. You may also have met Walton at TCD, I met him in its Senior Common Room, which seemed to me to be very luxurious, with lavish food and coffee, piles of newspapers, luxurious chairs and a big fire. Walton came in to the College after retirement, and was a witty kind of character, no trace of any arrogance. There is a photograph of Rutherford, Cockcroft and Walton on the net. Of course he was joking when he said they stole bike parts, or maybe not. This is because Rutherford expected all the group to build its own apparatus and blow its own glassware, no big grants at all.

431(3): The m theory of E Cat

Copper has two naturally occuring isotopes (63 and 65, 63 is the most abundant). So, copper 63 is stable and a non-radioactive isotope. It will not harm the environment in the way that many other fission products can. Obviously it is important to emphasise this.

The release of intense visible light is also interesting and potentially useful if it could be safely harnessed.

Sent from my Samsung Galaxy smartphone.