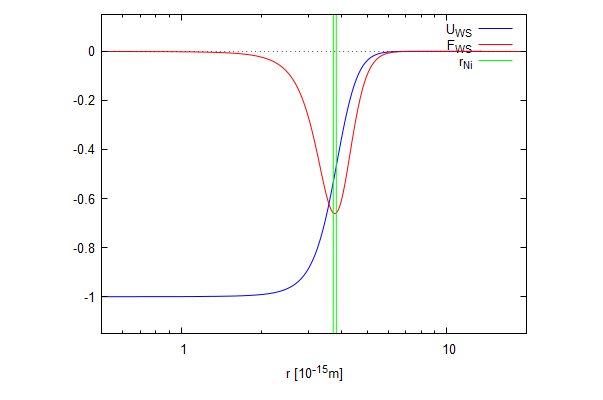
This is full of interest and an important and clear numerical and graphical demonstration of how low energy nuclear reactions can take place without having to accelerate protons with a Cockroft / Walton generator using 750,000 volts, or a heavy hadron collider. This section has all kinds of important results, and makes a first attempt at understanding how the space parameters m(r) and dm(r) / dr can be related to physical quantities such as surface thickness of the nucleus in a model potential such as the 1954 Woods Saxon potential also used in UFT226 ff. I have only one comment, In Eq. (22) it should be m(r) in the numerator and not m(r) power half. See for example Eq. (11) of UFT417, where the force is F sub 1 = – mMG / r1 squared + ……., where r1 = r / m(r) power half. Horst also succeeds in solving the differential equation at r = R for m(r) and dm(r) / dr of the Woods Saxon potential. Similarly there will be m(r) and dm(r) / dr parameters for any potential used for nuclear physics, notably the Yukawa potential, Reid potential and so on. Some numerical work along these lines has already been done for UFT432, Note (1).
This is the preliminary version of section 3 of UFT 331. I found some
force resonances for special functions m(r). I will add a section on the
solution of the nuclear wave equation. This will give hints how to
compute the mass spectrum of elementary particles.
Horst
