Thanks again, it will probably be possible to adapt a procedure similar to your note of this morning. However, the main problem has already been solved, that of developing magnetostatics with conservation of antisymmetry.
To: EMyrone@aol.com
Sent: 28/08/2017 10:06:09 GMT Daylight Time
Subj: Re: Fwd: Discussion of 386(5): Numerical Solution to the problemEqs. (1) and (2) are six equations with six unknowns but we found that eq.(2) is not of rank 3 in general. So we have to be cautious with the solution procedure.
I will do some graphics the next days and try to solve the more complex magnetic current loop.Horst
Am 28.08.2017 um 09:58 schrieb EMyrone:
Discussion of 386(5): Numerical Solution to the problem
This looks like a very useful method and an important result. The spin connections have been found for the far field (dipole) approximation of the circular current loop, a well known problem of magnetostatics. It would be very interesting to graph this spin connection. I used this simplifying idea because it was first used in Note 381(3) for the static magnetic field. It would be very interesting to apply this method to Eqs. (25) onwards, the complete vector potential for the circular current loop in various approximations. The spin connections describe the structure of spacetime, aether or vacuum as you know, and of course this is missing completely from the standard model. The final stage of UFT386 would be to apply this mathematical method to the most general expression:
B = curl A – omega x A (1)
where
omega x A = curl alpha (2)
Eqs. (1) and (2) must be solved simultaneously. The vector potential A is a standard vector potential such as the dipole vector potential. So Eqs. (1) and (2) are six equations in six unknowns, omega sub X, omega sub Y, omega sub Z, alpha sub X, alpha sub Y and alpha sub Z. The equation del dot B = 0 is true automatically and this is the key advantage of the method. I included Note 386(8) to provide a review of the historic result of UFT131, which completely refutes standard physics in many ways, and which introduced conservation of antisymmetry. This is what I mean by testing the integrity of the standard modellers with Prize applications and funding applications. At this point in time they have been completely refuted but refuse to admit it. I cannot recall a situation like this in the history of physics. As can be seen, conservation of antisymmetry provides a great deal of new information, and there have been no objections to UFT131 in nearly a decade.
To: EMyrone
Sent: 28/08/2017 00:20:54 GMT Daylight Time
Subj: Re: 386(5): Solution to the problemThe main idea is: If the potential A leads to antisymm. eqs. of rank < 3, then parts of the simplifying approach (1) should be used in addition to the antisymm. eqs. so that an equation system of rank 3 results. Then the procedure can executed as described in the note.
For the special A of eq.(24)
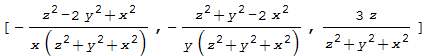
A =solving eqs. (8,9,11) simultaneously gives:
omega =giving the right XY symmetry. Then follows
curl A = – omega x A
and
del dot (curl A) = del dot (omega x A) = 0.
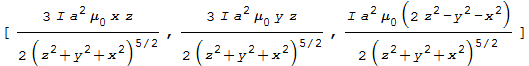
I assume that B is a dipole field then:
B =Horst
Am 26.08.2017 um 13:57 schrieb EMyrone:
This solution emerges from the assumption (1), a special case of the last note. This assumption is solved simultaneously with the antisymmetrry law (6) to (8) to give the three spin connection components uniquely, Eqs. (18) to (20). The well known current in a circular loop is used as an illustration. The algebra can be worked out with computer algebra and graphed as usual. The exact solution is Eq. (26) in terms of the complete elliptic integrals K and E with argument (27). The translation from spherical to Cartesian is given in Eqs. (32) and (33). An approximate solution is given in Eqs. (34) to (36), and the dipole solution far from the current loop is given in Eqs. (40) to (42). In each case antisymmetry is conserved and the spin connections can be computed and graphed. In this case the algebra can get complicated but that is no problem. This general method can also be used for electrostatics and probably also for electrodynamics.






