Computation of the Valence Charge Density of the Nickel Atom
This is an exceedingly interesting development, this program applies computational quantum chemistry to the m theory and finds an effect on the valence structure of the nickel atom. It is a small effect as expected, but nevertheless it is a real effect, similar to the Lamb shift, also a small effect. So the generally relativistic quantum mechanics can be coded up in computational quantum chemistry, and applied to a vast number of problems. This program can be used to develop the m theory far in advance of analytical solutions of the Schroedinger equation. The latter is analytical only for the H atom, as is well known. For the helium atom onwards, computational methods have to be used. It would be interesting to apply this program to a proton interacting with the nickel atom, using m theory. That might lead to low energy nuclear reaction. I think that thi sis a big step forward and this program can be used in many ways.
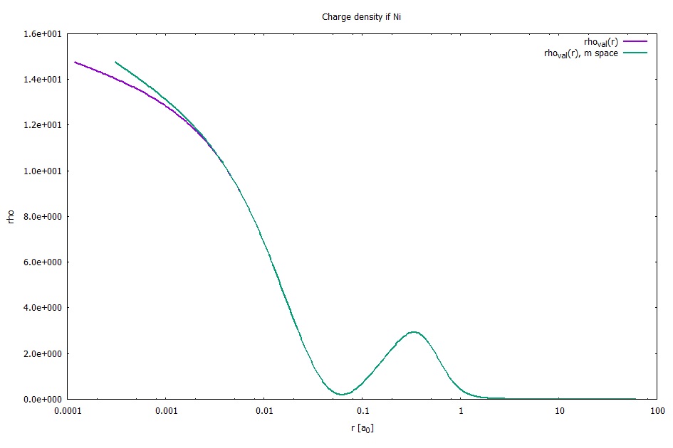
The effect of m space is that the wave functions psi(r) are shifted to the outer region by
psi(r) –> psi( r/sqrt(m(r)) )
because
r/sqrt(m(r)) >= r.
I succeeded in reactivating an old electronic structure program for atoms which a colleague at the TU Clausthal sent me years ago. I calculated the charge density of a Ni atom. The valence charge density (10 electrons) is graphed in the file, in original form and with shifted radius coordinate as above. One has to make the parameter R of the m function quite large to find a visible effect.
I hope that jpg files go through the wordpress upload better than png files.
Horst
Am 07.04.2019 um 09:31 schrieb Myron Evans:
436(4) : General Solution of the Schroedinger Equation
This is given by Eq. (8) and several examples given. In the usual vacuum free quantum mechanics the expectation value of energy from Eq. (8) is given by <E> = E, but in quantum mechanics in m space (or the vacuum), i.e. generally covariant quantum mechanics, the energy levels are shifted according to Eq. (31). This is a general law of quantum mechanics, true for any spectral line.




